Beranda
/ Rumus Sudut Rangkap Dan Sudut Pertengahan / Tan 112 5 Sudut Pertengahan Brainly Co Id : Pembahasan dari rumus cosinus untuk sudut rangkap akan diperoleh terlebih dahulu nilai sin a:
Rumus Sudut Rangkap Dan Sudut Pertengahan / Tan 112 5 Sudut Pertengahan Brainly Co Id : Pembahasan dari rumus cosinus untuk sudut rangkap akan diperoleh terlebih dahulu nilai sin a:
Rumus Sudut Rangkap Dan Sudut Pertengahan / Tan 112 5 Sudut Pertengahan Brainly Co Id : Pembahasan dari rumus cosinus untuk sudut rangkap akan diperoleh terlebih dahulu nilai sin a:. Dan penjelasan tentang rumus sudut rangkap fungsi tangen, sudut rangkap fungsi sinus, sudut rangkap fungsi cosinus untuk lebih jelasnya sima pembahasan dibawah ini. Rumu tersebut digunakan untuk menghitung nilai suatu sudut yang tidak termasuk sudut istimewa. Belajar trigonometri sudut rangkap dengan video dan kuis interaktif. 10 contoh soal dan jawaban fungsi sudut pertengahan perbandingan perkalian penjumlahan bentuk. Berikutnya gunakan rumus sudut rangkap untuk sinus diketahui sin x = 1/4, tentukan nilai dari cos 2x.
1.3 penurunan rumus tan sudut ganda. Sudut #sudutpertengahan #pembuktian divideo ini membahas sudut pertengahan dan 1 soal bisa juga request pembahasan. Berikut ini adalah turunan dari fungsi fungsi trigonometri dalam variabel sudut ax b. A rumus sudut pertengahan : Sekarang, kamu bisa mulai belajar dengan 2 video dan 3 set latihan soal yang ada di halaman ini.
Las Trigonometri P Rumus Trigonometri Pdf Document from reader021.docslide.net Jumlah dan selisih dua sudut, sudut rangkap, dan sudut pertengahan. Nilainya bisa dihitung dari hasil kali nilai trigonometri suatu sudut. Pembuktian rumus perkalian sinus dan cosinus. Di sini, kamu akan belajar tentang trigonometri sudut rangkap melalui video yang dibawakan oleh bapak anton wardaya. Mungkin itu saja sobat informasi yang bisa saya berikan tentang rumus sudut rangkap dua dan tiga trigonometri semoga bermanfaat. Dalam materi trigonometri, ada rumus jumlah dan selisih dua sudut dan rumus sudut rangkap. 10 contoh soal dan jawaban fungsi sudut pertengahan perbandingan perkalian penjumlahan bentuk. Rumus sin 3x, cos 3x, dan tan 3x secara umum!
Rumus sin 3x dan cara mendapatkannya.
Soal latihan tri sudut rangkap. Contohnya jika diketahui sinx dan ditanyakan sin12x atau diketahui cos2x ditanyakan cosx. Original title 3 tan a tan 3 a 1 3 tan 2 a. Pembuktian rumus perkalian sinus dan cosinus. Slamat datang di blog paling bermanfaat sedunia. Titik temu dua sinar garis jenis sudut yang pertama adalah sudut lancip. Nilainya bisa dihitung dari hasil kali nilai trigonometri suatu sudut. Nilai dari sudut 120otidak lain merupakan hasil dari 2 x 60o. Sudut merupakan sebuah daerah yang terbentuk dari dua buah sinar garis yang bertemu di satu titik pangkal yang sama. Rumus sinus sudut pertengahan rumus cosinus sudut pertengahan rumus tangen sudut pertengahan melalui perkalian sekawan pembilang atau penyebut dan menggunakan identitas trigonometri rumus tangen sudut pertengahan dapat juga dinyatakan sebagai berikut. Sekarang, kamu bisa mulai belajar dengan 2 video dan 3 set latihan soal yang ada di halaman ini. Sudut ini besarnya di atas 0o dan kurang dari 90o. Selain itu, rumus trigonometri juga memiliki rumus trigonometri sudut pertengahan.
Seperti halnya rumus jumlah dan selisih dua sudut serta rumus sudut rangkap rumus trigonometri sudut pertengahan juga digunakan untuk menentukan nilai fungsi trigonometri suatu sudut utamanya untuk bukan sudut istimewa tanpa alat bantu hitung seperti kalkulator atau tabel. Secara umum sudut rangkap dirumuskan sebagai berikut! Sekarang, kamu bisa mulai belajar dengan 2 video dan 3 set latihan soal yang ada di halaman ini. Di sini, kamu akan belajar tentang trigonometri sudut rangkap melalui video yang dibawakan oleh bapak anton wardaya. Jika digambarkan akan berbentuk seperti di bawah ini
Rumus Sudut Rangkap Trigonometri Dan Contoh Soalnya Lengkap from rumus.co.id Rumus sudut rangkap untuk cosinus. Contohnya jika diketahui sinx dan ditanyakan sin12x atau diketahui cos2x ditanyakan cosx. Soal latihan tri sudut rangkap. Nilainya bisa dihitung dari hasil kali nilai trigonometri suatu sudut. Rumus sin 3x, cos 3x, dan tan 3x secara umum! Posted in rumus matematikatagged contoh soal sin 3a, contoh soal sudut pertengahan, contoh soal sudut rangkap dan penyelesaiannya, kumpulan contoh. Rumus ini dapat kita kembangkan dari rumus perkalian sinus dan cosinus, seperti biasa proses pengembangan rumus dapat dilihat dari buku cetak matematika. Pengertian fungsi invers dalam matematika beserta contoh soal.
Dalam materi trigonometri, ada rumus jumlah dan selisih dua sudut dan rumus sudut rangkap.
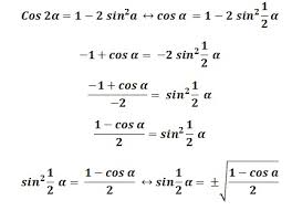
Di sini, kamu akan belajar tentang trigonometri sudut rangkap melalui video yang dibawakan oleh bapak anton wardaya. Sebagaimana yang kita ketahui, bahwa besar sudut yang termasuk dalam sudut istimewa adalah 30°, 45°, 60°, 90° dan contoh soal dan pembahasannya. Mungkin itu saja sobat informasi yang bisa saya berikan tentang rumus sudut rangkap dua dan tiga trigonometri semoga bermanfaat. Seperti halnya rumus jumlah dan selisih dua sudut serta rumus sudut rangkap rumus trigonometri sudut pertengahan juga digunakan untuk menentukan nilai fungsi trigonometri suatu sudut utamanya untuk bukan sudut istimewa tanpa alat bantu hitung seperti kalkulator atau tabel. Pembuktian sudut pertengahan pada sinus, cosinus dan tangen. Menentukan tan a, liat segitiga berikut, sin a = 1/√3 artinya perbandingan pada segitiga sikusikunya. Sudut rangkap merupakan hasil perkalian bilangan bulat dengan suatu sudut. 10 contoh soal dan jawaban fungsi sudut pertengahan perbandingan perkalian penjumlahan bentuk. Cos 2a = 1 − 2 sin2 a 1/3 = 1 − 2 sin2 a 2 sin2 a = 1 − 1/3 2 sin2 a = 2/3 sin2 a = 1/3 sin a = 1/√3. Trigonometri sudut rangkap dan sudut pertengahan latihan. Sehingga meskipun sudut 120obukanlah sudut yang istimewa, namun sudut 60omerupakan sudut yang istimewa dan dapat diketahui nilainya. Jumlah dan selisih dua sudut, sudut rangkap, dan sudut pertengahan. Dan penjelasan tentang rumus sudut rangkap fungsi tangen, sudut rangkap fungsi sinus, sudut rangkap fungsi cosinus untuk lebih jelasnya sima pembahasan dibawah ini.
Trigonometri sudut rangkap dan sudut pertengahan latihan. Rumus sin 3x dan cara mendapatkannya. Seperti halnya rumus jumlah dan selisih dua sudut serta rumus sudut rangkap rumus trigonometri sudut pertengahan juga digunakan untuk menentukan nilai fungsi trigonometri suatu sudut utamanya untuk bukan sudut istimewa tanpa alat bantu hitung seperti kalkulator atau tabel. Sehingga meskipun sudut 120obukanlah sudut yang istimewa, namun sudut 60omerupakan sudut yang istimewa dan dapat diketahui nilainya. 1.3 penurunan rumus tan sudut ganda.
Menghitung Nilai Sin Dan Cos 15 Derajat Konsep Matematika Koma from 3.bp.blogspot.com Contoh soal trigonometri sudut rangkap. Rumus perkalian sinus dan cosinus. Sekarang, kamu bisa mulai belajar dengan 2 video dan 3 set latihan soal yang ada di halaman ini. Rumus sin 3x dan cara mendapatkannya. Nilainya bisa dihitung dari hasil kali nilai trigonometri suatu sudut. Rumus fungsi trigonometri sudut pertengahan diperoleh melalui rumus fungsi trigonometri sudut ganda rangkap dua. Berikut ini adalah turunan dari fungsi fungsi trigonometri dalam variabel sudut ax b. Pengertian fungsi invers dalam matematika beserta contoh soal.
Di sini, kamu akan belajar tentang trigonometri sudut rangkap melalui video yang dibawakan oleh bapak anton wardaya.
Trigonometri sudut rangkap dan sudut pertengahan latihan. Nilainya bisa dihitung dari hasil kali nilai trigonometri suatu sudut. Pembuktian sudut pertengahan pada sinus, cosinus dan tangen. Rumus perkalian sinus dan cosinus. Cos 2a = 1 − 2 sin2 a 1/3 = 1 − 2 sin2 a 2 sin2 a = 1 − 1/3 2 sin2 a = 2/3 sin2 a = 1/3 sin a = 1/√3. Sehingga meskipun sudut 120obukanlah sudut yang istimewa, namun sudut 60omerupakan sudut yang istimewa dan dapat diketahui nilainya. Rumu tersebut digunakan untuk menghitung nilai suatu sudut yang tidak termasuk sudut istimewa. Nilai dari sudut 120otidak lain merupakan hasil dari 2 x 60o. Slamat datang di blog paling bermanfaat sedunia. Selain itu, rumus trigonometri juga memiliki rumus trigonometri sudut pertengahan. Soal latihan tri sudut rangkap. Titik temu dua sinar garis jenis sudut yang pertama adalah sudut lancip. Rumus sin 3x, cos 3x, dan tan 3x secara umum!
Berbagi
Posting Komentar
untuk "Rumus Sudut Rangkap Dan Sudut Pertengahan / Tan 112 5 Sudut Pertengahan Brainly Co Id : Pembahasan dari rumus cosinus untuk sudut rangkap akan diperoleh terlebih dahulu nilai sin a:"
Posting Komentar untuk "Rumus Sudut Rangkap Dan Sudut Pertengahan / Tan 112 5 Sudut Pertengahan Brainly Co Id : Pembahasan dari rumus cosinus untuk sudut rangkap akan diperoleh terlebih dahulu nilai sin a:"