Beranda
/ Integral Pecahan Akar - 2 Contoh Soal Integral Bentuk Pecahan Dan Pangkat Negatif Matematika Sma Youtube - By ahmad ghani posted on march 24, 2021.
Integral Pecahan Akar - 2 Contoh Soal Integral Bentuk Pecahan Dan Pangkat Negatif Matematika Sma Youtube - By ahmad ghani posted on march 24, 2021.
Integral Pecahan Akar - 2 Contoh Soal Integral Bentuk Pecahan Dan Pangkat Negatif Matematika Sma Youtube - By ahmad ghani posted on march 24, 2021.. Jika derajat f(x)<g(x) maka f(x) rasional nyata. Integral trigonometri adalah hasil kebalikan dari turunan trigonometri. Soal dan pembahasan integral harga mutlak istana mengajar. 24 contoh soal integral parsial kumpulan contoh soal contoh kumpulan from contohkumpulan.com Tekan untuk lebih banyak langkah.
Contoh soal integral pecahan rumusrumus com. Ada 3 rumus dasar integral, silakan cek di bawah ya, quipperian. X2 +bx+c = x+ b 2 2 + r c b2 4! Beberapa bentuk dan teknik penyelesaian integral yaitu. Pelajari tentang integral dengan pemecah soal matematika gratis yang disertai solusi langkah demi langkah.
Integral Matematika Kelas 11 Rumus Jenis Soal Quipper Blog from i1.wp.com Berikut ini adalah contoh soal integral akar tak tentu yang bisa anda unduh secara gratis dengan menekan tombol download yang ada pada tautan dibawah ini. Contoh soal dan jawaban penaksiran pecahan dan persen pilihan ganda. Integral pecahan memadukan dua bentuk yaitu bentuk integral dan pecahan. Sesuai dengan definisinya, eksponen mengandung bentuk perpangkatan dan akar. Integral ganda memungkinkan untuk menghitung volume permukaan di bawah kurva. Aturan integral substitusi seperti yang tertulis di teorema 5. Selain itu, kamu juga akan mendapatkan latihan soal interaktif dalam 3 tingkat kesulitan (mudah, sedang, sukar). Contoh soal integral akar pangkat.
Berikut ini adalah contoh soal integral akar tak tentu yang bisa anda unduh secara gratis dengan menekan tombol download yang ada pada tautan dibawah ini.
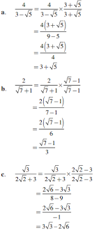
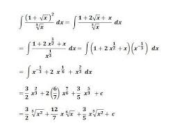
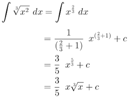
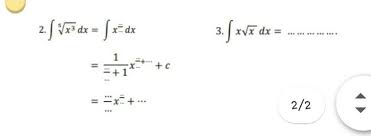
Contoh soal integral tentu tak tentu substitusi parsial. Contoh soal integral pecahan rumusrumus com. Integral pecahan memadukan dua bentuk yaitu bentuk integral dan pecahan. Beberapa bentuk dan teknik penyelesaian integral yaitu. Soal dan pembahasan integral harga mutlak istana mengajar. Contoh soal integral akar pangkat. Eksponen, perpangkatan, & bentuk akar. Berikut ini adalah contoh soal integral akar tak tentu yang bisa anda unduh secara gratis dengan menekan tombol download yang ada pada tautan dibawah ini. Scribd is the worlds largest social reading and publishing site. Biasanya cara ini digunakan untuk metode yang ada untuk menyelesaikan soal integral tidak bisa digunakan. Pada pembahasan ini, burhan bakalan jelasin tentang integral pecahan. Tulis ulang menggunakan u u dan d d u u. Contoh soal integral tentu kumpulan soal pelajaran 2.
Karena x2 + bx + c tak mempunyai akar (b2 4c < 0) maka bentuk kuadrat sempurnanya adalah u2 +d2; Di sini, kamu akan belajar tentang integral fungsi pecahan melalui video yang dibawakan oleh bapak anton wardaya. Contoh soal pembahasan bentuk pangkat posted on 19082014 07032016 by admin berikut saya sajikan soal dan pembahasan bentuk pangkat baik pilihan ganda dan essay yang dilengkapi dengan pembahasannya untuk sumber aslinya bisa anda lihat bawah. Contoh soal integral tentu kumpulan soal pelajaran 2. Contoh soal ips kelas 10 semester 1 kurikulum 2013;
Pi Wikipedia Bahasa Indonesia Ensiklopedia Bebas from wikimedia.org Integral matematika kelas 11 rumus jenis soal. Pengertian integral sebagai luas suatu bidang datar. 2 = x+ b 2 2 + p 4c b2 2! Scribd is the worlds largest social reading and publishing site. Scribd is the worlds largest social reading and publishing site. Contoh soal pembahasan bentuk pangkat posted on 19082014 07032016 by admin berikut saya sajikan soal dan pembahasan bentuk pangkat baik pilihan ganda dan essay yang dilengkapi dengan pembahasannya untuk sumber aslinya bisa anda lihat bawah. Menghitung integral tak tentu dalam bentuk pecahan Integral parsial jawaban sesuai pilihan ganda un.
Eksponen, perpangkatan, & bentuk akar.
Pengertian integral sebagai luas suatu bidang datar. Di sini, kamu akan belajar tentang integral fungsi pecahan melalui video yang dibawakan oleh bapak anton wardaya. Integral pecahan dan akar linear yaitu: Integral dibedakan menjadi dua, yaitu integral tak tentu dan integral tentu. Video ini membahas cara mudah menyelesaikan soal integral tak tentu bentuk akar dengan metode substitusi. Beberapa bentuk dan teknik penyelesaian integral yaitu. Contoh soal dan jawaban penaksiran pecahan dan persen pilihan ganda. Ada 3 rumus dasar integral, silakan cek di bawah ya, quipperian. Soal dan pembahasan integral harga mutlak istana mengajar. 8.1 bentuk tak tentu 0/0. Biasanya integral pecahan ini berbentuk polinomial dengan derajat pangkat pembilang lebih kecil daripada. 24 contoh soal integral parsial kumpulan contoh soal contoh kumpulan from contohkumpulan.com Eksponen, perpangkatan, & bentuk akar.
Contoh soal integral akar pengertian. Beberapa bentuk dan teknik penyelesaian integral yaitu. Integral banyak digunakan untuk memperbaiki arsitektur bangunan dan juga jembatan. Jika dalam pangkat , maka nilai a dikalikan dengan a sebanyak n kali atau a n = a x a x … x a. Soal dan pembahasan integral harga mutlak istana mengajar.
Kumpulan Rumus Integral Trigonometri Matematika Fisika from i.pinimg.com Integral parsial jawaban sesuai pilihan ganda un. Contoh soal integral substitusi pecahan. Contoh soal integral akar pangkat. Contoh soal integral tentu kumpulan soal pelajaran 2. ( ) ( ) g x f x. Integral trigonometri adalah hasil kebalikan dari turunan trigonometri. Biasanya cara ini digunakan untuk metode yang ada untuk menyelesaikan soal integral tidak bisa digunakan. Pengertian integral sebagai luas suatu bidang datar.
Jadi kamu bakalan nemuin soal yang memiliki bentuk pecahan kemudian di integral.
Integral tak tentu integrasi fungsi pecah ppt download. 8.1 bentuk tak tentu 0/0. Mereka memiliki dua variabel dan menganggap fungsi f (x, y) dalam ruang tiga dimensi. Sesuai dengan definisinya, eksponen mengandung bentuk perpangkatan dan akar. Karena x2 + bx + c tak mempunyai akar (b2 4c < 0) maka bentuk kuadrat sempurnanya adalah u2 +d2; Pecahan taksiranpecahan penaksiran materi matematika kelas 4 sd pada video ini adalah penjelasan pada bab pecahan dan pokok bahasannya adalah penaksiran a. Integral pecahan memadukan dua bentuk yaitu bentuk integral dan pecahan. Contoh soal pembahasan bentuk pangkat posted on 19082014 07032016 by admin berikut saya sajikan soal dan pembahasan bentuk pangkat baik pilihan ganda dan essay yang dilengkapi dengan pembahasannya untuk sumber aslinya bisa anda lihat bawah. Kamu akan diajak untuk memahami materi hingga metode menyelesaikan soal. 24 contoh soal integral parsial kumpulan contoh soal contoh kumpulan from contohkumpulan.com Integral fungsi rasional dengan pecahan parsial. Scribd is the worlds largest social reading and publishing site. Contoh soal ips kelas 10 semester 1 kurikulum 2013;
Berbagi
Posting Komentar
untuk "Integral Pecahan Akar - 2 Contoh Soal Integral Bentuk Pecahan Dan Pangkat Negatif Matematika Sma Youtube - By ahmad ghani posted on march 24, 2021."
Posting Komentar untuk "Integral Pecahan Akar - 2 Contoh Soal Integral Bentuk Pecahan Dan Pangkat Negatif Matematika Sma Youtube - By ahmad ghani posted on march 24, 2021."